Ruhegehalt Polizeizulage Ausgleichszulage

Themen speziell für Bundesbeamte

Moderator: Moderatoren

Jorgito
Beiträge: 12
Registriert: 16. Sep 2023, 12:31
Behörde:
Geschlecht:

Re: Ruhegehalt Polizeizulage Ausgleichszulage

Beitrag von Jorgito »

Jorgito hat geschrieben: 28. Okt 2024, 13:38 Moin,

eine frage.
Ich werde vsl. im Dez.24 oder Jan. 25 in den vorzeitigen Ruhestand, gute 2 Jahre vor der eigentlichen Pensionierung, gehen.
Wird die Zahlung der PZ bei mir automatisch berücksichtigt oder muss ich auch einen Antrag stellen ?
VG
Kann hier niemand helfen ???
Benutzeravatar
TianO
Beiträge: 20
Registriert: 25. Nov 2024, 09:56
Behörde: Fliegergruppe
Wohnort: Nürnberg
Geschlecht:

Re: Ruhegehalt Polizeizulage Ausgleichszulage

Beitrag von TianO »

Hallo zusammen,

bin "neu" hier und habe zu diesem Thema auch ein paar Worte...
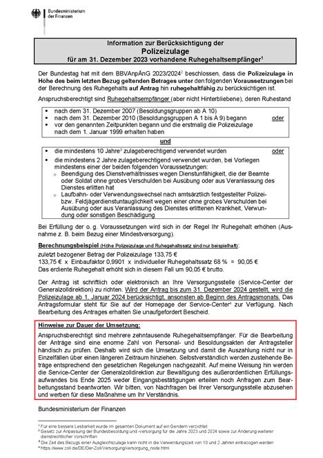
Merkblatt PZ
Merkblatt PZ
Ich finde dieses Merkblatt teilweise unsinnig und rechtlich bedenklich.

Zum Einen wird keine Eingangsbestätigung verschickt, zum Anderen muss man in 2024 eingereicht haben,
um rückwirkend zum 01.01.2024 diese Zulage zu erhalten.

Ich habe im März 24 eingereicht und bis dato keine Zahlung erhalten.

Falls mein Antrag "irgendwo" auf der Strecke geblieben ist und ich keinen Nachweis über das Datum meines Antrages habe, dann gehen mir also mindestens 12 Monate (eher mehr) an Zahlungen flöten.

Ich werde nun auf eine Eingangsbestätgung bestehen und ggf.wenn ich keine Bestätigung bekomme, eine Fachaufsichtsbeschwerde schreiben.
(Wer hat die Fachaufsicht über das Bundesministerium für Finanzen? :shock: )

Freundliche Grüße
Zuletzt geändert von TianO am 27. Nov 2024, 10:30, insgesamt 1-mal geändert.
Benutzeravatar
TianO
Beiträge: 20
Registriert: 25. Nov 2024, 09:56
Behörde: Fliegergruppe
Wohnort: Nürnberg
Geschlecht:

Re: Ruhegehalt Polizeizulage Ausgleichszulage

Beitrag von TianO »

Jorgito hat geschrieben: 26. Nov 2024, 12:39
Jorgito hat geschrieben: 28. Okt 2024, 13:38 Moin,

eine frage.
Ich werde vsl. im Dez.24 oder Jan. 25 in den vorzeitigen Ruhestand, gute 2 Jahre vor der eigentlichen Pensionierung, gehen.
Wird die Zahlung der PZ bei mir automatisch berücksichtigt oder muss ich auch einen Antrag stellen ?
VG
Kann hier niemand helfen ???
Automatisch
Dienstunfall_L
Beiträge: 1077
Registriert: 7. Mär 2015, 11:05
Behörde:

Re: Ruhegehalt Polizeizulage Ausgleichszulage

Beitrag von Dienstunfall_L »

@Tian
Hast du kein Einschreiben Rückschein genutzt?
Jorgito
Beiträge: 12
Registriert: 16. Sep 2023, 12:31
Behörde:
Geschlecht:

Re: Ruhegehalt Polizeizulage Ausgleichszulage

Beitrag von Jorgito »

TianO hat geschrieben: 27. Nov 2024, 10:17
Jorgito hat geschrieben: 26. Nov 2024, 12:39
Jorgito hat geschrieben: 28. Okt 2024, 13:38 Moin,

eine frage.
Ich werde vsl. im Dez.24 oder Jan. 25 in den vorzeitigen Ruhestand, gute 2 Jahre vor der eigentlichen Pensionierung, gehen.
Wird die Zahlung der PZ bei mir automatisch berücksichtigt oder muss ich auch einen Antrag stellen ?
VG
Kann hier niemand helfen ???
Automatisch
Danke für die Antwort Tiano !!!
Benutzeravatar
TianO
Beiträge: 20
Registriert: 25. Nov 2024, 09:56
Behörde: Fliegergruppe
Wohnort: Nürnberg
Geschlecht:

Re: Ruhegehalt Polizeizulage Ausgleichszulage

Beitrag von TianO »

Dienstunfall_L hat geschrieben: 27. Nov 2024, 13:48 @Tian
Hast du kein Einschreiben Rückschein genutzt?
Nein, elektronisch.

Einschreiben mit Rückschein sind leider auch nicht immer gerichtsfest.
Kurtl
Beiträge: 6
Registriert: 26. Jan 2025, 10:48
Behörde: Zollverwaltung
Geschlecht:

Re: Ruhegehalt Polizeizulage Ausgleichszulage

Beitrag von Kurtl »

Hallo,
habe Mitte Mai 2024 meinen Antrag eingereicht,
nachdem ich das Procedere der Antragstellung zufällig von einem Kollegen der auch in Pension ist, erfahren habe. Auch habe ich im Antrag meine Zeiten an der Grenze im GAD und bei der Zollfahndung angegeben. 40 Jahre Polizeizulage stehn zu Buche. Frage mich, was es da solange zum püfen gibt.
Eine Auszahlung ist bis dato (Januar 2025) immer noch nicht erfolgt, habe aber immerhin eine Eingangsbestätigung per Mail bekommen.

Entäuschend und traurig ist auch, dass weder das zuständige Servicecenter noch meine ehemalige Personalstelle, bei der es einen Beauftragten zur Betreuung der Versorgungsempfänger gibt, mich noch andere Versorgungsempfänger informiert hat was zu tun ist. Wirklich eine tolle Wertschätzung für 45 Jahre Dienst für Vater Staat.
Gruß K.
Antworten